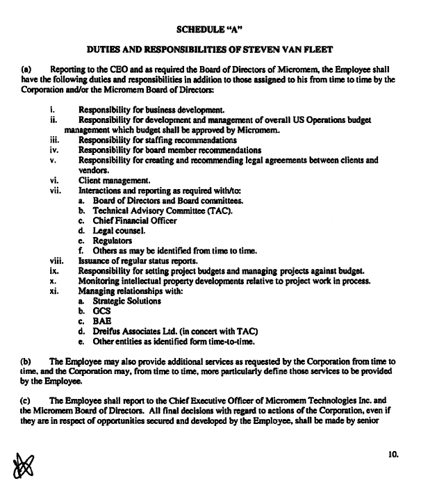
EX-4.13 4 exh413.htm Micromem Technologies Inc: Exhibit 4.13 - Prepared by TNT Filings Inc.

Exhibit 4.13